Упражнение 11 ГДЗ Колягин Ткачёва 7 класс (Алгебра)
Вычислить: 1) 65 409 + 3728; 2) 7654 + 28 996; 3) 50 764 - 3976; 4) 47 216 - 9327;


Ниже вариант решения задания из учебника Колягин, Ткачёва, Фёдорова 7 класс, Просвещение:
Вычислить:
1) 65 409 + 3728; 2) 7654 + 28 996;
3) 50 764 - 3976; 4) 47 216 - 9327;
5) 641 · 36; 6) 782 · 47;
7) 3024 · 506; 8) 5132 · 408;
9) 7935 : 23; 10) 21 862 : 34;
11) 11 476 : 19; 12) 12 672 : 18;
13) 12^2; 14) 6^3;
15) 5^4; 16) 2^8.
Записать:
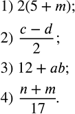
1) удвоенную сумму чисел 5 и m;
2) половину разности чисел c и d;
3) сумму числа 12 и произведения чисел a и b;
4) частное от деления суммы чисел n и m на число 17.
