Упражнение 168 ГДЗ Колягин Ткачёва 7 класс (Алгебра)
Вычислить: 1) 75-3,75; 2) 0,48•25; 3) 2/3-2; 4) 4/7 :8; 5) 5 1/2•2/11; 6) 1 1/7 :1/14; 7) -18:(-4,5); 8) (-10,5)•0,4.


Ниже вариант решения задания из учебника Колягин, Ткачёва, Фёдорова 7 класс, Просвещение:
Вычислить:
1) 75-3,75;
2) 0,48•25;
3) 2/3-2;
4) 4/7 :8;
5) 5 1/2•2/11;
6) 1 1/7 :1/14;
7) -18:(-4,5);
8) (-10,5)•0,4.
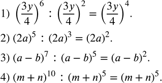
Записать частное в виде степени:
1) (3y/4)^6 :(3y/4)^2;
2) (2a)^5 :(2a)^3;
3) (a-b)^7 :(a-b)^5;
4) (m+n)^10 :(m+n)^5.
