Упражнение 173 ГДЗ Колягин Ткачёва 7 класс (Алгебра)
Найти значение числового выражения: 1) (1/2+1/3)•(1/5-1/4); 2) (2/7-3/4)•(2/13-1/2); 3) 4 2/3+1/4•(1 7/9-4/9); 4) 5 1/7-1/7•(1 3/4+1/4); 5) (3 1/3•3^2-17) :13-0,07. Записать в виде степени с основанием a:


Ниже вариант решения задания из учебника Колягин, Ткачёва, Фёдорова 7 класс, Просвещение:
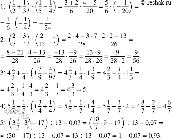
Найти значение числового выражения:
1) (1/2+1/3)•(1/5-1/4);
2) (2/7-3/4)•(2/13-1/2);
3) 4 2/3+1/4•(1 7/9-4/9);
4) 5 1/7-1/7•(1 3/4+1/4);
5) (3 1/3•3^2-17) :13-0,07.
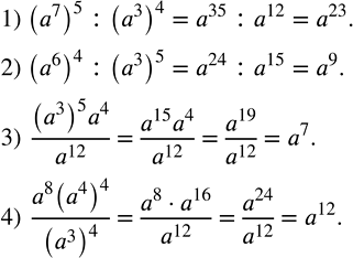
Записать в виде степени с основанием a:
1) (a^7 )^5 :(a^3 )^4;
2) (a^6 )^4 :(a^3 )^5;
3) ((a^3 )^5 a^4)/a^12 ;
4) (a^8 (a^4 )^4)/(a^3 )^4 .
