Упражнение 172 ГДЗ Колягин Ткачёва 7 класс (Алгебра)
Указать порядок выполнения действий и вычислить: 1) 1,7•3^2+2/3•12-15; 2) 27,7-(1/2)^2•100+6,4:0,8; 3) 48•0,05-(1/3)^2•54+1,7; 4) (2,5)^2+15•2/3-0,24:0,6. Записать в виде степени с основанием a:


Ниже вариант решения задания из учебника Колягин, Ткачёва, Фёдорова 7 класс, Просвещение:
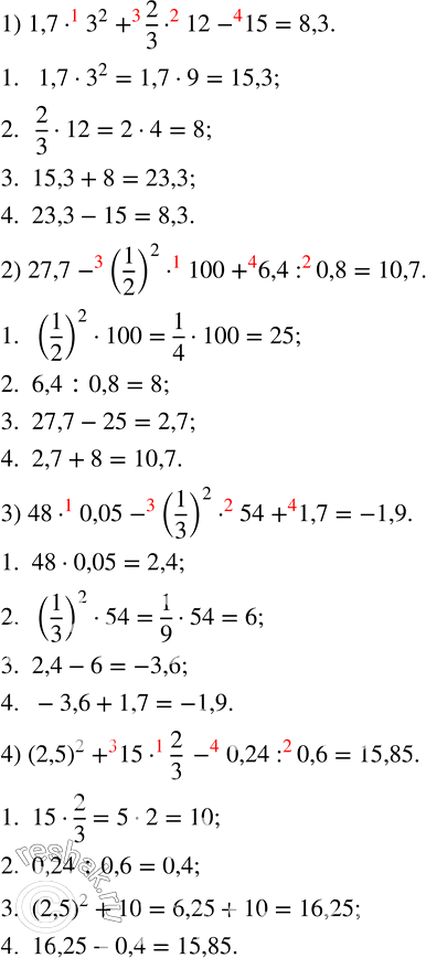
Указать порядок выполнения действий и вычислить:
1) 1,7•3^2+2/3•12-15;
2) 27,7-(1/2)^2•100+6,4:0,8;
3) 48•0,05-(1/3)^2•54+1,7;
4) (2,5)^2+15•2/3-0,24:0,6.
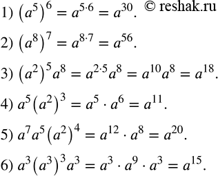
Записать в виде степени с основанием a:
1) (a^5 )^6;
2) (a^8 )^7;
3) (a^2 )^5 a^8;
4) a^5 (a^2 )^3;
5) a^7 a^5 (a^2 )^4;
6) a^3 (a^3 )^3 a^3.
