Упражнение 170 ГДЗ Колягин Ткачёва 7 класс (Алгебра)
Записать в виде числового равенства и проверить, верно ли оно: 1) сумма чисел 1/3 и 1/5 равна разности чисел 2/3 и 2/15;


Ниже вариант решения задания из учебника Колягин, Ткачёва, Фёдорова 7 класс, Просвещение:
Записать в виде числового равенства и проверить, верно ли оно:
1) сумма чисел 1/3 и 1/5 равна разности чисел 2/3 и 2/15;
2) произведение чисел 40 и 0,03 равно частному от деления числа 6 на число 5;
3) удвоенная разность чисел 10 и -2 в три раза больше суммы этих же чисел;
4) утроенная сумма чисел 2 и 6 в два раза больше произведения этих же чисел.
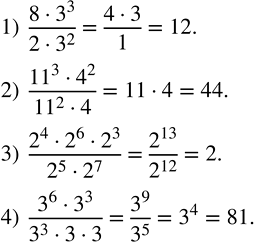
Вычислить:
1) (8•3^3)/(2•3^2 );
2) (?11?^3•4^2)/(?11?^2•4);
3) (2^4•2^6•2^3)/(2^5•2^7 );
4) (3^6•3^3)/(3^3•3•3).
