Упражнение 169 ГДЗ Колягин Ткачёва 7 класс (Алгебра)
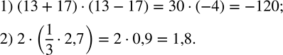
Записать в виде числового выражения: 1) произведение суммы и разности чисел 13 и 17; 2) удвоенное произведение чисел 1/3 и 2,7.Вычислить:


Ниже вариант решения задания из учебника Колягин, Ткачёва, Фёдорова 7 класс, Просвещение:
Записать в виде числового выражения:
1) произведение суммы и разности чисел 13 и 17;
2) удвоенное произведение чисел 1/3 и 2,7.
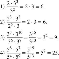
Вычислить:
1) (2•3^3)/3^2 ;
2) (2^3•3^2)/(2^2•3);
3) (3^5•3^10)/(3^6•3^7 );
4) (5^8•5^7)/(5^4•5^9 ).
