Упражнение 253 ГДЗ Колягин Ткачёва 7 класс (Алгебра)
Решить уравнение: 1) 9x=2/5; 2) -3x=2 1/7; 3) -1/2 x=3; 4) 3/4 x=1/2. В двузначном числе десятков втрое больше, чем единиц.


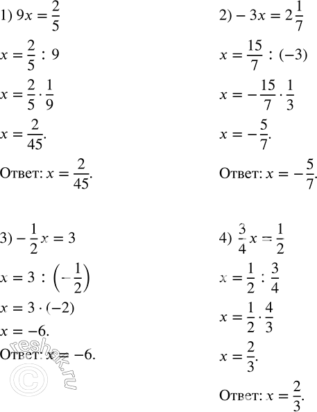
Ниже вариант решения задания из учебника Колягин, Ткачёва, Фёдорова 7 класс, Просвещение:
Решить уравнение:
1) 9x=2/5;
2) -3x=2 1/7;
3) -1/2 x=3;
4) 3/4 x=1/2.
В двузначном числе десятков втрое больше, чем единиц. Если от этого числа отнять число, записанное теми же цифрами, но в обратном порядке, то получится 36. Найти число.
