Упражнение 258 ГДЗ Колягин Ткачёва 7 класс (Алгебра)
Решить уравнение: 1) 11/7=(2-x)/5; 2) 3x/5=(6+x)/3; 3) x/3+x/5=8; 4) y/3+y/4=14. Упростить выражение: 1) 6(2t-3n)-3(3t-2n); 2) 5(a-b)-4(2a-3b); 3) -2(3x-2y)-5(2y-3x); 4) 7(4p+3)-6(5+7p). *Цитирирование задания со ссылкой на учебник производится исключительно в учебных целях для лучшего понимания разбора решения задания.


Ниже вариант решения задания из учебника Колягин, Ткачёва, Фёдорова 7 класс, Просвещение:
Решить уравнение:
1) 11/7=(2-x)/5;
2) 3x/5=(6+x)/3;
3) x/3+x/5=8;
4) y/3+y/4=14.
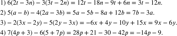
Упростить выражение:
1) 6(2t-3n)-3(3t-2n);
2) 5(a-b)-4(2a-3b);
3) -2(3x-2y)-5(2y-3x);
4) 7(4p+3)-6(5+7p).
