Упражнение 255 ГДЗ Колягин Ткачёва 7 класс (Алгебра)
Решить уравнение: 1) 25x-1=9; 2) 7x+8=11; 3) 3x-5=10-x; 4) 4x+4=x+5. Найти произведение многочлена и одночлена: 1) 2(3a^2-4a+8); 2) (-1/3)(m-n+p); 3) (3a-5b+bc)(-3);


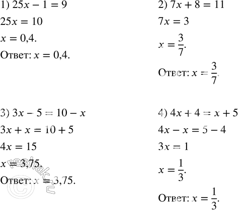
Ниже вариант решения задания из учебника Колягин, Ткачёва, Фёдорова 7 класс, Просвещение:
Решить уравнение:
1) 25x-1=9;
2) 7x+8=11;
3) 3x-5=10-x;
4) 4x+4=x+5.
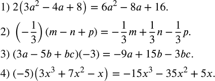
Найти произведение многочлена и одночлена:
1) 2(3a^2-4a+8);
2) (-1/3)(m-n+p);
3) (3a-5b+bc)(-3);
4) (-5)(3x^3+7x^2-x).
