Упражнение 257 ГДЗ Колягин Ткачёва 7 класс (Алгебра)
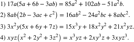
Решить уравнение: 1) 5(x-3)-2(x-7)+7(2x+6)=7; 2) 11(y-4)+10(5-3y)-3(4-3y)=-6; 3) 5(8z-1)-7(4z+1)+8(7-4z)=9; 4) 10(3x-2)-3(5x+2)+5(11-4x)=25. Найти произведение многочлена и одночлена: 1) 17a(5a+6b-3ab); 2) 8ab(2b-3ac+c^2 ); 3) 3x^2 y(5x+6y+7z);


Ниже вариант решения задания из учебника Колягин, Ткачёва, Фёдорова 7 класс, Просвещение:
Решить уравнение:
1) 5(x-3)-2(x-7)+7(2x+6)=7;
2) 11(y-4)+10(5-3y)-3(4-3y)=-6;
3) 5(8z-1)-7(4z+1)+8(7-4z)=9;
4) 10(3x-2)-3(5x+2)+5(11-4x)=25.
Найти произведение многочлена и одночлена:
1) 17a(5a+6b-3ab);
2) 8ab(2b-3ac+c^2 );
3) 3x^2 y(5x+6y+7z);
4) xyz(x^2+2y^2+3z^2 ).
