Упражнение 250 ГДЗ Колягин Ткачёва 7 класс (Алгебра)
Найти все значения x, при которых верно равенство: 1) |x|=0; 2) |x|=2; 3) |x|=1/3; 4) |x-1|=2. Решить уравнение: 1) (7x-9)+(2x-8)=1; 2) (12x+5)+(7-3x)=3;


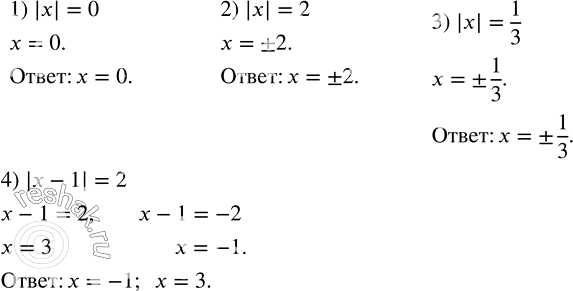
Ниже вариант решения задания из учебника Колягин, Ткачёва, Фёдорова 7 класс, Просвещение:
Найти все значения x, при которых верно равенство:
1) |x|=0;
2) |x|=2;
3) |x|=1/3;
4) |x-1|=2.
Решить уравнение:
1) (7x-9)+(2x-8)=1;
2) (12x+5)+(7-3x)=3;
3) (0,2x-7)-(6-0,1x)=2;
4) (1-5,1x)-(1,7x+5,4)=1.
