Упражнение 277 ГДЗ Колягин Ткачёва 7 класс (Алгебра)
1) Лодка шла против течения реки 4,5 ч и по течению 2,1 ч. Найти скорость лодки в стоячей воде, если она прошла всего 52,2 км, а скорость течения реки равна 3 км/ч.


Ниже вариант решения задания из учебника Колягин, Ткачёва, Фёдорова 7 класс, Просвещение:
1) Лодка шла против течения реки 4,5 ч и по течению 2,1 ч. Найти скорость лодки в стоячей воде, если она прошла всего 52,2 км, а скорость течения реки равна 3 км/ч.
2) Лодка шла по течению реки 2,4 ч и против течения 3,2 ч. Путь, пройденный лодкой по течению, оказался на 13,2 км длиннее пути, пройденного против течения. Найти скорость лодки, если скорость течения реки равна 3,5 км/ч.
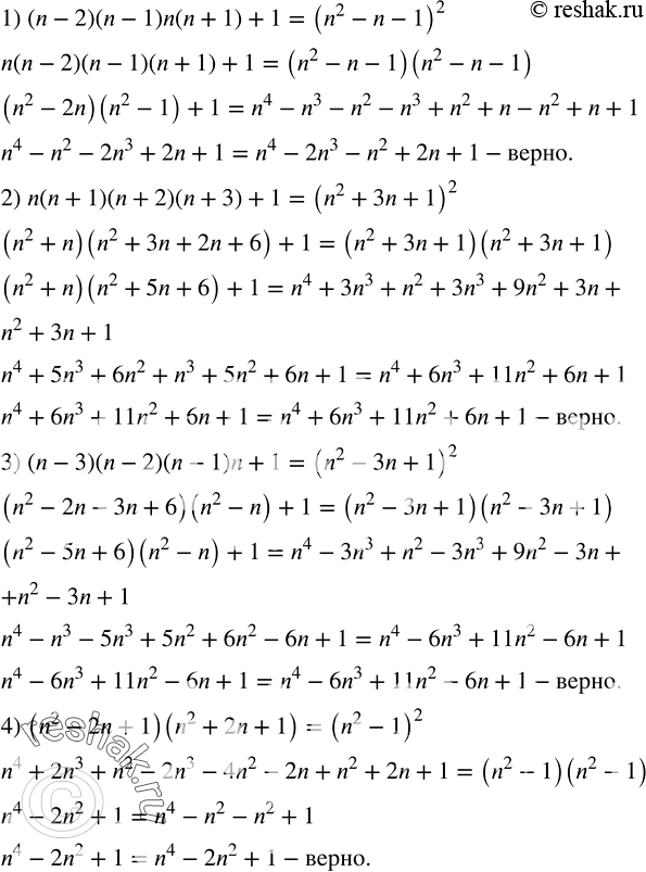
Доказать равенство:
1) (n-2)(n-1)n(n+1)+1=(n^2-n-1)^2;
2) n(n+1)(n+2)(n+3)+1=(n^2+3n+1)^2;
3) (n-3)(n-2)(n-1)n+1=(n^2-3n+1)^2;
4) (n^2-2n+1)(n^2+2n+1)=(n^2-1)^2.
