Упражнение 272 ГДЗ Колягин Ткачёва 7 класс (Алгебра)
Имеются четыре последовательных четных числа. Если удвоенную сумму крайних чисел уменьшить на 2, то получится 34. Найти эти числа.Упростить выражение и выяснить, при каком значении x значение выражения равно a:


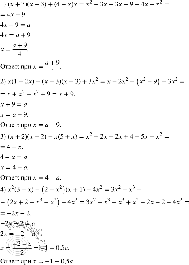
Ниже вариант решения задания из учебника Колягин, Ткачёва, Фёдорова 7 класс, Просвещение:
Имеются четыре последовательных четных числа. Если удвоенную сумму крайних чисел уменьшить на 2, то получится 34. Найти эти числа.
Упростить выражение и выяснить, при каком значении x значение выражения равно a:
1) (x+3)(x-3)+(4-x)x;
2) x(1-2x)-(x-3)(x+3)+3x^2;
3) (x+2)(x+2)-x(5+x);
4) x^2 (3-x)-(2-x^2 )(x+1)-4x^2.
