Упражнение 279 ГДЗ Колягин Ткачёва 7 класс (Алгебра)
1) Из одного пункта вначале вышел пешеход, а через 1,5 ч после его выхода в том же направлении выехал велосипедист. На каком расстоянии от пункта отправления велосипедист догнал пешехода, если пешеход шел со скоростью 4,25 км/ч, а велосипедист ехал со скоростью 17 км/ч?


Ниже вариант решения задания из учебника Колягин, Ткачёва, Фёдорова 7 класс, Просвещение:
1) Из одного пункта вначале вышел пешеход, а через 1,5 ч после его выхода в том же направлении выехал велосипедист. На каком расстоянии от пункта отправления велосипедист догнал пешехода, если пешеход шел со скоростью 4,25 км/ч, а велосипедист ехал со скоростью 17 км/ч?
2) Два теплохода вышли одновременно из одного пункта и идут в одном направлении. Первый теплоход за каждые 1,5 ч проходит 37,5 км, а второй теплоход за каждые 2 ч проходит 45 км. Через сколько времени первый теплоход будет находиться от второго на расстоянии 10 км?
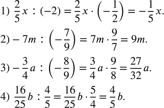
Выполнить деление:
1) 2/5 x:(-2);
2)-7m:(-7/9);
3)-3/4 a:(-8/9);
4) 16/25 b:4/5.
