Упражнение 283 ГДЗ Колягин Ткачёва 7 класс (Алгебра)
Решить уравнение: 1) 3y+5=4(9-y/2); 2) 8(11-3/4 z)=16z-44; 3) 3(5+x/2)=4+2x; 4) 2(3-x/3)=5+x. Выполнить деление: 1) 14a^5 :(7a^2 ); 2) (-42m^7 ) :(-6m);


Ниже вариант решения задания из учебника Колягин, Ткачёва, Фёдорова 7 класс, Просвещение:
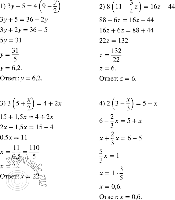
Решить уравнение:
1) 3y+5=4(9-y/2);
2) 8(11-3/4 z)=16z-44;
3) 3(5+x/2)=4+2x;
4) 2(3-x/3)=5+x.
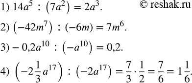
Выполнить деление:
1) 14a^5 :(7a^2 );
2) (-42m^7 ) :(-6m);
3)-0,2a^10 :(-a^10 );
4) (-2 1/3 a^17 ) :(-2a^17 ).
