Упражнение 284 ГДЗ Колягин Ткачёва 7 класс (Алгебра)
Решить уравнение: 1) (x-2)/4-1/2=(x+7)/6; 2) (x-7)/6=(x+1)/2-3; 3) 2(3x-1)/5=4-(x+2)/2; 4) 1/2-3x/4=2(3-x)/5. Выполнить деление: 1) 1/3 m^3 n^2 p^2 :(-2/3 m^2 n^2 p^2 );


Ниже вариант решения задания из учебника Колягин, Ткачёва, Фёдорова 7 класс, Просвещение:
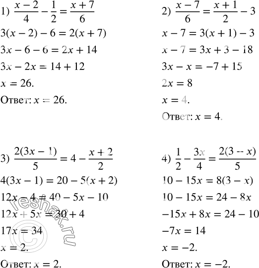
Решить уравнение:
1) (x-2)/4-1/2=(x+7)/6;
2) (x-7)/6=(x+1)/2-3;
3) 2(3x-1)/5=4-(x+2)/2;
4) 1/2-3x/4=2(3-x)/5.
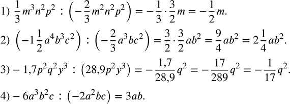
Выполнить деление:
1) 1/3 m^3 n^2 p^2 :(-2/3 m^2 n^2 p^2 );
2) (-1 1/2 a^4 b^3 c^2 ) :(-2/3 a^3 bc^2 );
3)-1,7p^2 q^2 y^3 :(28,9p^2 y^3 );
4)-6a^3 b^2 c:(-2a^2 bc).
