Упражнение 312 ГДЗ Колягин Ткачёва 7 класс (Алгебра)
Вычислить: 1) 2(-3)^2; 2) -5(-2)^3; 3) -1/2 (-4)^2; 4) -2/3 (-3)^2. Упростить (n - натуральное число, n>4): 1) (12•5^(2n+1)-8•5^2n+4•5^(2n-1) ) :(4•5^(2n-2) );


Ниже вариант решения задания из учебника Колягин, Ткачёва, Фёдорова 7 класс, Просвещение:
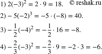
Вычислить:
1) 2(-3)^2;
2) -5(-2)^3;
3) -1/2 (-4)^2;
4) -2/3 (-3)^2.
Упростить (n - натуральное число, n>4):
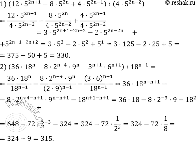
1) (12•5^(2n+1)-8•5^2n+4•5^(2n-1) ) :(4•5^(2n-2) );
2) (36•?18?^n-8•2^(n-4)•9^n-3^(n+1)•6^(n+1) ) :?18?^(n-1).
