Упражнение 311 ГДЗ Колягин Ткачёва 7 класс (Алгебра)
Вычислить: 1) (2/3)^3; 2) (3/5)^2; 3) (1 2/7)^2; 4) (2 1/3)^3. Решить уравнение: 1) (9-x)/10=(2x-3)/2; 2) (0,1-2x)/0,4=(2,5-10x)/12. *Цитирирование задания со ссылкой на учебник производится исключительно в учебных целях для лучшего понимания разбора решения задания.


Ниже вариант решения задания из учебника Колягин, Ткачёва, Фёдорова 7 класс, Просвещение:
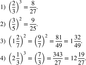
Вычислить:
1) (2/3)^3;
2) (3/5)^2;
3) (1 2/7)^2;
4) (2 1/3)^3.
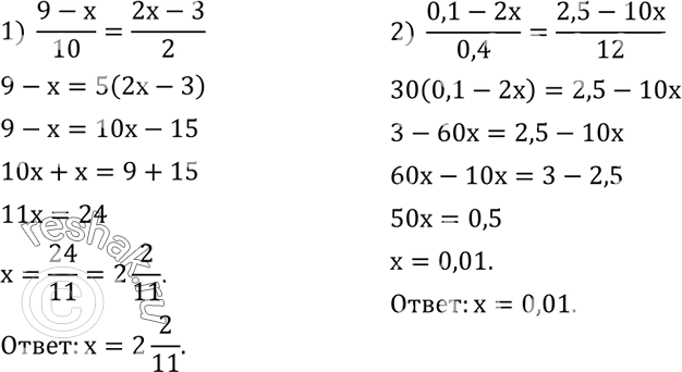
Решить уравнение:
1) (9-x)/10=(2x-3)/2;
2) (0,1-2x)/0,4=(2,5-10x)/12.
