Упражнение 308 ГДЗ Колягин Ткачёва 7 класс (Алгебра)
Вычислить: 1) 2^3; 2) 3^2; 3) ?10?^4; 4) 5^3. Записать выражение в виде степени, n - натуральное число: 1) a^7•a^2n•a^(3n-2); 2) x^(n+2)•x^8•x^(4n-1);


Ниже вариант решения задания из учебника Колягин, Ткачёва, Фёдорова 7 класс, Просвещение:
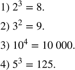
Вычислить:
1) 2^3;
2) 3^2;
3) ?10?^4;
4) 5^3.
Записать выражение в виде степени, n - натуральное число:
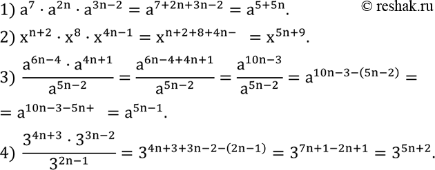
1) a^7•a^2n•a^(3n-2);
2) x^(n+2)•x^8•x^(4n-1);
3) (a^(6n-4)•a^(4n+1))/a^(5n-2) ;
4) (3^(4n+3)•3^(3n-2))/3^(2n-1) .
