Упражнение 310 ГДЗ Колягин Ткачёва 7 класс (Алгебра)
Вычислить: 1) (-5)^3; 2) -5^3; 3) (-2 1/4)^2; 4) -(2 1/4)^2. В автобусе было n пассажиров. На первых двух остановках вышло по m человек на каждой остановке, а на третьей никто не вышел, но вошло несколько человек, после чего в автобусе стало k пассажиров.


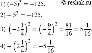
Ниже вариант решения задания из учебника Колягин, Ткачёва, Фёдорова 7 класс, Просвещение:
Вычислить:
1) (-5)^3;
2) -5^3;
3) (-2 1/4)^2;
4) -(2 1/4)^2.
В автобусе было n пассажиров. На первых двух остановках вышло по m человек на каждой остановке, а на третьей никто не вышел, но вошло несколько человек, после чего в автобусе стало k пассажиров. Сколько человек вошло в автобус на третьей остановке?
