Упражнение 33 ГДЗ Колягин Ткачёва 7 класс (Алгебра)
Перечислить цифры, которые можно записать вместо звёздочки, чтобы образовавшееся число делилось на 3: 1) 7*2; 2) 14*9; 3) 2*54; 4) 36*0.


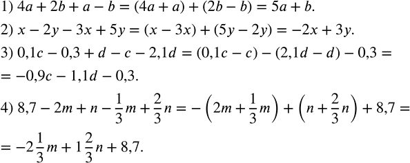
Ниже вариант решения задания из учебника Колягин, Ткачёва, Фёдорова 7 класс, Просвещение:
Перечислить цифры, которые можно записать вместо звёздочки, чтобы образовавшееся число делилось на 3:
1) 7*2; 2) 14*9;
3) 2*54; 4) 36*0.
Привести подобные слагаемые:
1) 4a+2b+a-b;
2) x-2y-3x+5y;
3) 0,1c-0,3+d-c-2,1d;
4) 8,7-2m+n-1/3 m+2/3 n.
