Упражнение 35 ГДЗ Колягин Ткачёва 7 класс (Алгебра)
Придумать и записать трёхзначное число, которое: 1) делилось бы на 2, но не делилось на 4; 2) делилось бы на 3, но не делилось на 9.


Ниже вариант решения задания из учебника Колягин, Ткачёва, Фёдорова 7 класс, Просвещение:
Придумать и записать трёхзначное число, которое:
1) делилось бы на 2, но не делилось на 4;
2) делилось бы на 3, но не делилось на 9.
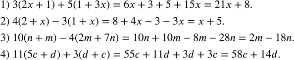
Упростить выражение:
1) 3(2x+1)+5(1+3x);
2) 4(2+x)-3(1+x);
3) 10(n+m)-4(2m+7n);
4) 11(5c+d)+3(d+c).
