Упражнение 37 ГДЗ Колягин Ткачёва 7 класс (Алгебра)
Не производя деления, выяснить, какие из данных чисел делятся на 11: 1) 368 126; 2) 5 022 754; 3) 1 794 068;


Ниже вариант решения задания из учебника Колягин, Ткачёва, Фёдорова 7 класс, Просвещение:
Не производя деления, выяснить, какие из данных чисел делятся на 11:
1) 368 126; 2) 5 022 754;
3) 1 794 068; 4) 11 223 344.
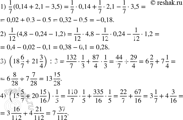
Используя свойства арифметических действий, вычислить:
1) 1/7 (0,14+2,1-3,5);
2) 1/12 (4,8-0,24-1,2);
3) (18 6/7+21 3/4) :3;
4) (15 5/7+20 15/16)•1/5.
