Упражнение 34 ГДЗ Колягин Ткачёва 7 класс (Алгебра)
Назвать цифру или цифры, которые можно записать вместо звёздочки, чтобы образовавшееся число делилось на 4: 1) 273*; 2) 3148*; 3) 576*2;


Ниже вариант решения задания из учебника Колягин, Ткачёва, Фёдорова 7 класс, Просвещение:
Назвать цифру или цифры, которые можно записать вместо звёздочки, чтобы образовавшееся число делилось на 4:
1) 273*; 2) 3148*;
3) 576*2; 4) 150*6.
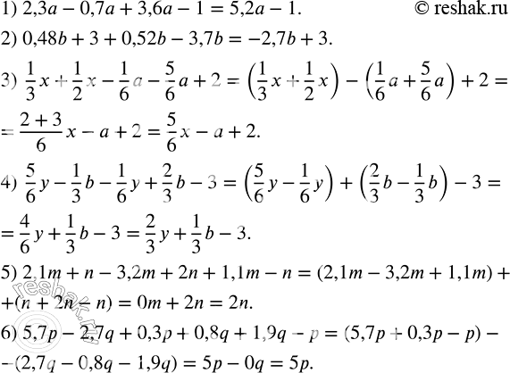
Привести подобные слагаемые:
1) 2,3a-0,7a+3,6a-1;
2) 0,48b+3+0,52b-3,7b;
3) 1/3 x+1/2 x-1/6 a-5/6 a+2;
4) 5/6 y-1/3 b-1/6 y+2/3 b-3;
5) 2,1m+n-3,2m+2n+1,1m-n;
6) 5,7p-2,7q+0,3p+0,8q+1,9q-p.
