Упражнение 36 ГДЗ Колягин Ткачёва 7 класс (Алгебра)
Не выполняя деления, установить, какой остаток будет от деления числа: 1) 5635 на 2; 2) 3896 на 10; 3) 10 689 на 5;


Ниже вариант решения задания из учебника Колягин, Ткачёва, Фёдорова 7 класс, Просвещение:
Не выполняя деления, установить, какой остаток будет от деления числа:
1) 5635 на 2; 2) 3896 на 10;
3) 10 689 на 5; 4) 3542 на 3.
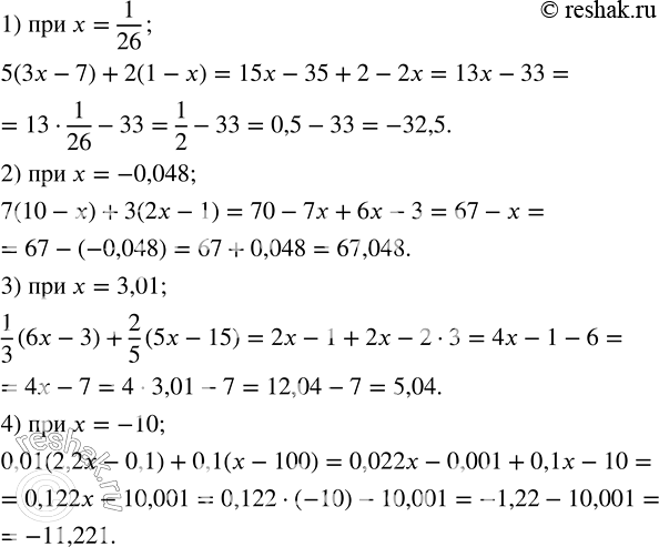
Упростить выражение и найти его числовое значение:
1) 5(3x-7)+2(1-x) при x=1/26;
2) 7(10-x)+3(2x-1) при x=-0,048;
3) 1/3 (6x-3)+2/5 (5x-15) при x=3,01;
4) 0,01(2,2x-0,1)+0,1(x-100) при x=-10.
