Упражнение 373 ГДЗ Колягин Ткачёва 7 класс (Алгебра)
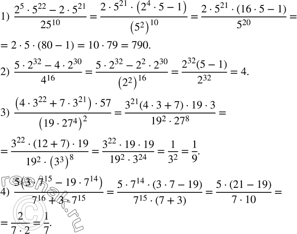
Вычислить: 1) (2^5•5^22-2•5^21)/?25?^10 ; 2) (5•2^32-4•2^30)/4^16 ; 3) ((4•3^22+7•3^21 )•57)/(19•?27?^4 )^2 ; 4) 5(3•7^15-19•7^14 )/(7^16+3•7^15 ). Представить квадрат двучлена в виде многочлена:


Ниже вариант решения задания из учебника Колягин, Ткачёва, Фёдорова 7 класс, Просвещение:
Вычислить:
1) (2^5•5^22-2•5^21)/?25?^10 ;
2) (5•2^32-4•2^30)/4^16 ;
3) ((4•3^22+7•3^21 )•57)/(19•?27?^4 )^2 ;
4) 5(3•7^15-19•7^14 )/(7^16+3•7^15 ).
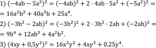
Представить квадрат двучлена в виде многочлена:
1) (-4ab-5a^2 )^2;
2) (-3b^2-2ab)^2;
3) (4xy+0,5y^2 )^2.
