Упражнение 371 ГДЗ Колягин Ткачёва 7 класс (Алгебра)
Вычислить с помощью микрокалькулятора: 1) 3^10; 2) 5^9; 3) (2,3)^4; 4) (1,3)^5.Представить квадрат двучлена в виде многочлена: 1) (q+2p)^2; 2) (3x+2y)^2;


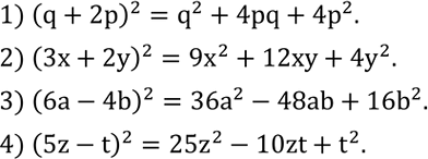
Ниже вариант решения задания из учебника Колягин, Ткачёва, Фёдорова 7 класс, Просвещение:
Вычислить с помощью микрокалькулятора:
1) 3^10; 2) 5^9; 3) (2,3)^4; 4) (1,3)^5.
Представить квадрат двучлена в виде многочлена:
1) (q+2p)^2;
2) (3x+2y)^2;
3) (6a-4b)^2;
4) (5z-t)^2.
