Упражнение 370 ГДЗ Колягин Ткачёва 7 класс (Алгебра)
1) Масса Земли равна 6·10^24 кг; масса Солнца - 2·10^30 кг. Во сколько раз масса Земли меньше массы Солнца? 2) Вычислить приближенно, сколько лет луч света идет от Земли до Сириуса, если расстояние от Земли до звезды Сириус равно 83 000 000 000 000 км.Представить квадрат двучлена в виде многочлена:


Ниже вариант решения задания из учебника Колягин, Ткачёва, Фёдорова 7 класс, Просвещение:
1) Масса Земли равна 6·10^24 кг; масса Солнца - 2·10^30 кг. Во сколько раз масса Земли меньше массы Солнца?
2) Вычислить приближенно, сколько лет луч света идет от Земли до Сириуса, если расстояние от Земли до звезды Сириус равно 83 000 000 000 000 км.
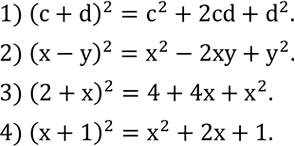
Представить квадрат двучлена в виде многочлена:
1) (c+d)^2;
2) (x-y)^2;
3) (2+x)^2;
4) (x+1)^2.
