Упражнение 368 ГДЗ Колягин Ткачёва 7 класс (Алгебра)
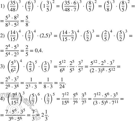
Вычислить: 1) (35/48)^3•(6/7)^3•(1 3/5)^2; 2) (14/15)^4•(3/7)^4•(2,5)^3; 3) (5^3/6^2 )^4•(2/5)^5•(3/5)^7; 4) (7^4/?15?^2 )^3•(5/7)^6•(3/7)^5. Доказать, что число (7n+1)^2-(2n-4)^2 делится на 15 при любом натуральном n.


Ниже вариант решения задания из учебника Колягин, Ткачёва, Фёдорова 7 класс, Просвещение:
Вычислить:
1) (35/48)^3•(6/7)^3•(1 3/5)^2;
2) (14/15)^4•(3/7)^4•(2,5)^3;
3) (5^3/6^2 )^4•(2/5)^5•(3/5)^7;
4) (7^4/?15?^2 )^3•(5/7)^6•(3/7)^5.
Доказать, что число (7n+1)^2-(2n-4)^2 делится на 15 при любом натуральном n.
