Вводные упражнения 18 ГДЗ Колягин Ткачёва 7 класс (Алгебра)
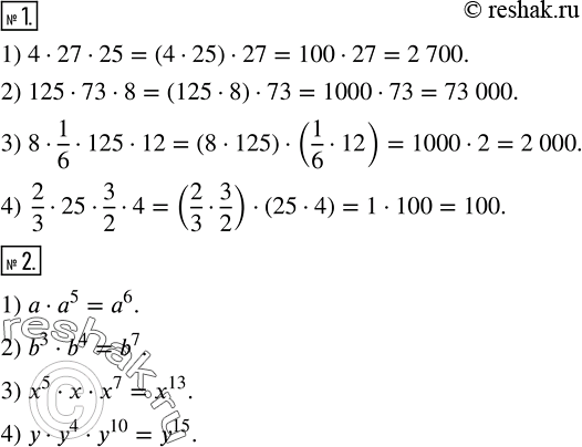
Вычислить удобным способом: 1) 4·27·25; 2) 125·73·8; 3) 8·1/6·125·12; 4) 2/3·25·3/2·4. 2) Записать в виде степени: 1) a·a^5; 2) b^3·b^4; 3) x^5·x·x^7;

Ниже вариант решения задания из учебника Колягин, Ткачёва, Фёдорова 7 класс, Просвещение:
Вычислить удобным способом:
1) 4·27·25; 2) 125·73·8; 3) 8·1/6·125·12; 4) 2/3·25·3/2·4.
2) Записать в виде степени:
1) a·a^5; 2) b^3·b^4; 3) x^5·x·x^7; 4) y·y^4·y^10.
