Упражнение 399 ГДЗ Колягин Ткачёва 7 класс (Алгебра)
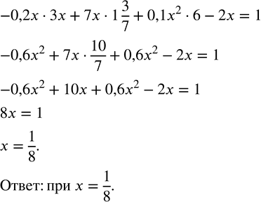
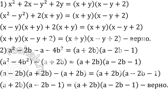
При каком значении x значение многочлена -0,2x•3x+7x•1 3/7+0,1x^2•6-2x равно 1. Доказать равенство: 1) x^2+2x-y^2+2y=(x+y)(x-y+2); 2) a^2-2b-a-4b^2=(a+2b)(a-2b-1). *Цитирирование задания со ссылкой на учебник производится исключительно в учебных целях для лучшего понимания разбора решения задания.


Ниже вариант решения задания из учебника Колягин, Ткачёва, Фёдорова 7 класс, Просвещение:
При каком значении x значение многочлена -0,2x•3x+7x•1 3/7+0,1x^2•6-2x равно 1.
Доказать равенство:
1) x^2+2x-y^2+2y=(x+y)(x-y+2);
2) a^2-2b-a-4b^2=(a+2b)(a-2b-1).
