Упражнение 395 ГДЗ Колягин Ткачёва 7 класс (Алгебра)
Упростить многочлен, записав каждый его член в стандартном виде, и определить степень многочлена: 1) 12a^2 ba-2abab^2+11aba; 2) 2ab^2•4ab-3a^2•8aba-2abab^2; 3) 1,5xy^2 (-4)xyz-4mnkm^2 nk;


Ниже вариант решения задания из учебника Колягин, Ткачёва, Фёдорова 7 класс, Просвещение:
Упростить многочлен, записав каждый его член в стандартном виде, и определить степень многочлена:
1) 12a^2 ba-2abab^2+11aba;
2) 2ab^2•4ab-3a^2•8aba-2abab^2;
3) 1,5xy^2 (-4)xyz-4mnkm^2 nk;
4) 4cc^2 c(-1/4)bc+5xy^2 xy^2.
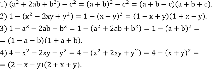
Разложить на множители:
1) (a^2+2ab+b^2 )-c^2;
2) 1-(x^2-2xy+y^2 );
3) 1-a^2-2ab-b^2;
4) 4-x^2-2xy-y^2.
