Упражнение 397 ГДЗ Колягин Ткачёва 7 класс (Алгебра)
Упростить многочлен и найти его значение: 1) -aba+a^2 b•2ab+4 при a=2; b=1/2; 2) b^2•5ab-5a•5a^2 b при a=1/5; b=-2. Вычислить: 1) (?53?^2-?27?^2)/(?79?^2-?51?^2 );


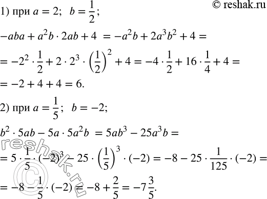
Ниже вариант решения задания из учебника Колягин, Ткачёва, Фёдорова 7 класс, Просвещение:
Упростить многочлен и найти его значение:
1) -aba+a^2 b•2ab+4 при a=2; b=1/2;
2) b^2•5ab-5a•5a^2 b при a=1/5; b=-2.
Вычислить:
1) (?53?^2-?27?^2)/(?79?^2-?51?^2 );
2) (?38?^2-?17?^2)/(?47?^2-?19?^2 );
3) (?49?^2-2•49•29+?29?^2)/(?49?^2-?19?^2 );
4) (?47?^2-3^2)/(?27?^2+2•27•13+?13?^2 ) .
