Упражнение 394 ГДЗ Колягин Ткачёва 7 класс (Алгебра)
Составить многочлен из одночленов: 1) 6x^2, 7x и 9; 2) 2x^2, -11x и 3; 3) -x^4, x^3 и -x; 4) a^5, -a^4 и a;


Ниже вариант решения задания из учебника Колягин, Ткачёва, Фёдорова 7 класс, Просвещение:
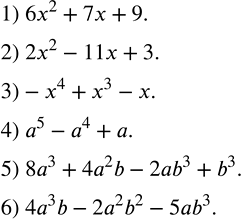
Составить многочлен из одночленов:
1) 6x^2, 7x и 9;
2) 2x^2, -11x и 3;
3) -x^4, x^3 и -x;
4) a^5, -a^4 и a;
5) 8a^3, 4a^2 b, -2ab^3 и b^3;
6) 4a^3 b, -2a^2 b^2, -5ab^3.
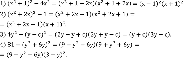
Разложить на множители:
1) (x^2+1)^2-4x^2;
2) (x^2+2x)^2-1;
3) 4y^2-(y-c)^2;
4) 81-(y^2+6y)^2.
