Упражнение 396 ГДЗ Колягин Ткачёва 7 класс (Алгебра)
Найти числовое значение многочлена: 1) 2a^4-ab+2b^2 при a=-1; b=-0,5; 2) x^2+2xy+y^2 при x=1,2; y=-1,2. Разложить на множители: 1) a^2-b^2+a+b; 2) a^2-b^2-a-b;


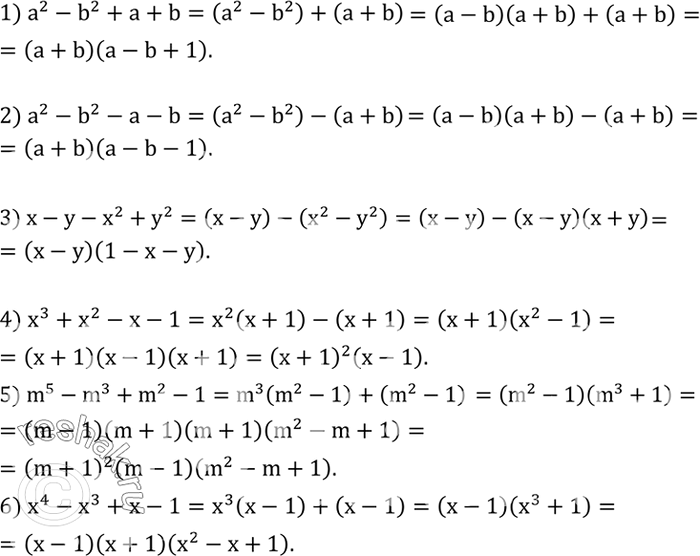
Ниже вариант решения задания из учебника Колягин, Ткачёва, Фёдорова 7 класс, Просвещение:
Найти числовое значение многочлена:
1) 2a^4-ab+2b^2 при a=-1; b=-0,5;
2) x^2+2xy+y^2 при x=1,2; y=-1,2.
Разложить на множители:
1) a^2-b^2+a+b;
2) a^2-b^2-a-b;
3) x-y-x^2+y^2;
4) x^3+x^2-x-1;
5) m^5-m^3+m^2-1;
6) x^4-x^3+x-1.
