Упражнение 403 ГДЗ Колягин Ткачёва 7 класс (Алгебра)
Привести подобные члены: 1) 2m+q+q-4m; 2) 3a+2b-b-a; 3) x^2+3y^2+4x^2-y^2; 4) 5a^2-4b^2-3a^2+b^2. Доказать, что при любом целом n значение выражения (7n-2)^2-(2n-7)^2 делится на 5;


Ниже вариант решения задания из учебника Колягин, Ткачёва, Фёдорова 7 класс, Просвещение:
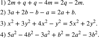
Привести подобные члены:
1) 2m+q+q-4m;
2) 3a+2b-b-a;
3) x^2+3y^2+4x^2-y^2;
4) 5a^2-4b^2-3a^2+b^2.
Доказать, что при любом целом n значение выражения (7n-2)^2-(2n-7)^2 делится на 5; делится на 9.
