Упражнение 408 ГДЗ Колягин Ткачёва 7 класс (Алгебра)
Найти значение многочлена: 1) -0,08x+73xy^3+27xy^2 при x=4 и y=0,2; 2) -2a^2 b+4b+11a^2 b при a=-1/3 и b=2 3/4. Разложить на множители:


Ниже вариант решения задания из учебника Колягин, Ткачёва, Фёдорова 7 класс, Просвещение:
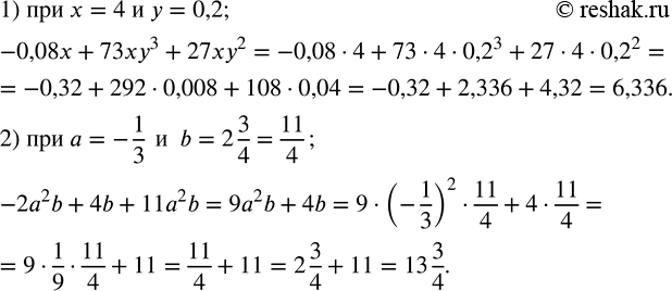
Найти значение многочлена:
1) -0,08x+73xy^3+27xy^2 при x=4 и y=0,2;
2) -2a^2 b+4b+11a^2 b при a=-1/3 и b=2 3/4.
Разложить на множители:
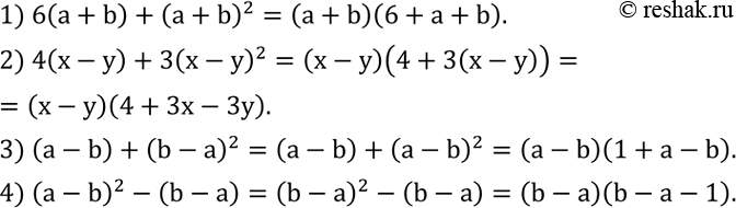
1) 6(a+b)+(a+b)^2;
2) 4(x-y)+3(x-y)^2;
3) (a-b)+(b-a)^2;
4) (a-b)^2-(b-a).
