Упражнение 405 ГДЗ Колягин Ткачёва 7 класс (Алгебра)
Привести многочлен к стандартному виду: 1) 1/3 x^2-1/3 y+2/3 x^2+1/3 y; 2) 1/5 a^2+3/4 b^2+4/5 a^2-3/4 b^2; 3) 2ab+0,7b^2-0,5ab+1,2b^2+8ab; 4) 5xy-3,5y^2-2xy+1,3y^2-xy.


Ниже вариант решения задания из учебника Колягин, Ткачёва, Фёдорова 7 класс, Просвещение:
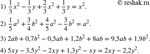
Привести многочлен к стандартному виду:
1) 1/3 x^2-1/3 y+2/3 x^2+1/3 y;
2) 1/5 a^2+3/4 b^2+4/5 a^2-3/4 b^2;
3) 2ab+0,7b^2-0,5ab+1,2b^2+8ab;
4) 5xy-3,5y^2-2xy+1,3y^2-xy.
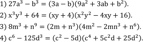
Разложить на множители:
1) 27a^3-b^3;
2) x^3 y^3+64;
3) 8m^3+n^9;
4) c^6-125d^3.
