Упражнение 406 ГДЗ Колягин Ткачёва 7 класс (Алгебра)
Привести многочлен к стандартному виду: 1) 2a^2 b-8b^2+5a^2 b+5c^2-3b^2+4c^2; 2) 3xy^2+4x^3-5x^2 y-3x^3+4x^2 y-9xy^2. Разложить на множители трехчлен: 1) x^3+x^2-12; 2) a^3-7a+6.


Ниже вариант решения задания из учебника Колягин, Ткачёва, Фёдорова 7 класс, Просвещение:
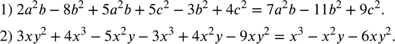
Привести многочлен к стандартному виду:
1) 2a^2 b-8b^2+5a^2 b+5c^2-3b^2+4c^2;
2) 3xy^2+4x^3-5x^2 y-3x^3+4x^2 y-9xy^2.
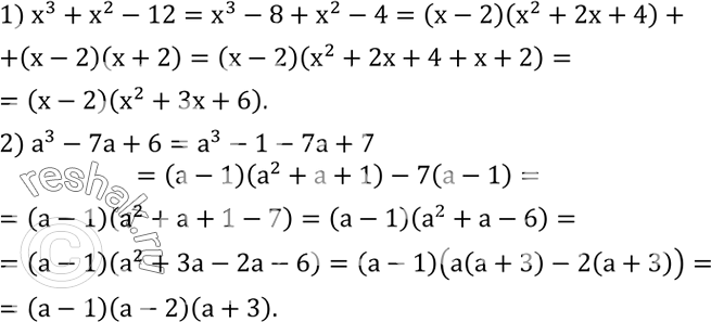
Разложить на множители трехчлен:
1) x^3+x^2-12;
2) a^3-7a+6.
