Упражнение 404 ГДЗ Колягин Ткачёва 7 класс (Алгебра)
Привести многочлен к стандартному виду: 1) 11x^2+4x-x^2-4x; 2) 2y^2-3y+2y-2y^2; 3) 0,3c^2-0,1c^2-0,5c^3; 4) 1,2a^2+3,4a^2-0,8a^2. Используя формулы суммы или разности кубов, упростить: 1) (a-2)(a^2+2a+4);


Ниже вариант решения задания из учебника Колягин, Ткачёва, Фёдорова 7 класс, Просвещение:
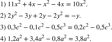
Привести многочлен к стандартному виду:
1) 11x^2+4x-x^2-4x;
2) 2y^2-3y+2y-2y^2;
3) 0,3c^2-0,1c^2-0,5c^3;
4) 1,2a^2+3,4a^2-0,8a^2.
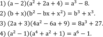
Используя формулы суммы или разности кубов, упростить:
1) (a-2)(a^2+2a+4);
2) (b+x)(b^2-bx+x^2 );
3) (2a+3)(4a^2-6a+9);
4) (a^2-1)(a^4+a^2+1).
