Упражнение 42 ГДЗ Колягин Ткачёва 7 класс (Алгебра)
Перечислить все делители числа 18; 24; 35; 63. Вычислить, используя свойства арифметических действий: 1) 4,385+(0,407+5,615); 2) 7 7/8+(13/18-3 7/8); 3) 0,213-(5,8+3,413);


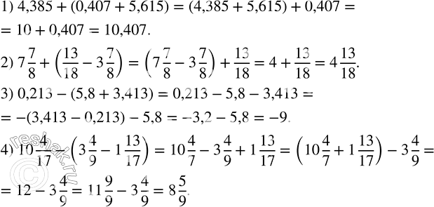
Ниже вариант решения задания из учебника Колягин, Ткачёва, Фёдорова 7 класс, Просвещение:
Перечислить все делители числа 18; 24; 35; 63.
Вычислить, используя свойства арифметических действий:
1) 4,385+(0,407+5,615);
2) 7 7/8+(13/18-3 7/8);
3) 0,213-(5,8+3,413);
4) 10 4/17-(3 4/9-1 13/17).
