Упражнение 39 ГДЗ Колягин Ткачёва 7 класс (Алгебра)
Перечислить все простые числа, меньшие 30. Доказать, что: 1) удвоенная сумма чисел 3a и 7b равна одной трети суммы чисел 18a и 42b;


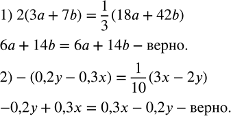
Ниже вариант решения задания из учебника Колягин, Ткачёва, Фёдорова 7 класс, Просвещение:
Перечислить все простые числа, меньшие 30.
Доказать, что:
1) удвоенная сумма чисел 3a и 7b равна одной трети суммы чисел 18a и 42b;
2) число, противоположное разности чисел 0,2y и 0,3x, равно одной десятой разности чисел 3x и 2y.
