Упражнение 46 ГДЗ Колягин Ткачёва 7 класс (Алгебра)
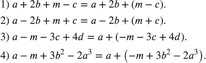
Записать три числа, кратных числу 13; 17; 25; 31. Заключить в скобки все слагаемые, начиная с числа m или (-m), поставив перед скобками знак «+»:


Ниже вариант решения задания из учебника Колягин, Ткачёва, Фёдорова 7 класс, Просвещение:
Записать три числа, кратных числу 13; 17; 25; 31.
Заключить в скобки все слагаемые, начиная с числа m или (-m), поставив перед скобками знак «+»:
1) a+2b+m-c;
2) a-2b+m+c;
3) a-m-3c+4d;
4) a-m+3b^2-2a^3.
