Упражнение 43 ГДЗ Колягин Ткачёва 7 класс (Алгебра)
Указать пары взаимно простых чисел: 1) 101 и 102; 2) 31 и 46; 3) 45 и 99; 4) 54 и 35.


Ниже вариант решения задания из учебника Колягин, Ткачёва, Фёдорова 7 класс, Просвещение:
Указать пары взаимно простых чисел:
1) 101 и 102; 2) 31 и 46;
3) 45 и 99; 4) 54 и 35.
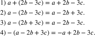
Раскрыть скобки:
1) a+(2b-3c);
2) a-(2b-3c);
3) a-(2b+3c);
4) -(a-2b+3c).
