Упражнение 471 ГДЗ Колягин Ткачёва 7 класс (Алгебра)
Упростить выражение: 1) 5x^3 :x-(2x)^2+x^4 :(2x^2 ); 2) 6x^4 :x-5x^5 :x^2+(2x)^3; 3) (3x^4+1/3 x^2 ) :x-x^3 :(3x^2 )+(3x)^3; 4) (12x^3-8x^2 ) :4x-4x(3x+0,25).


Ниже вариант решения задания из учебника Колягин, Ткачёва, Фёдорова 7 класс, Просвещение:
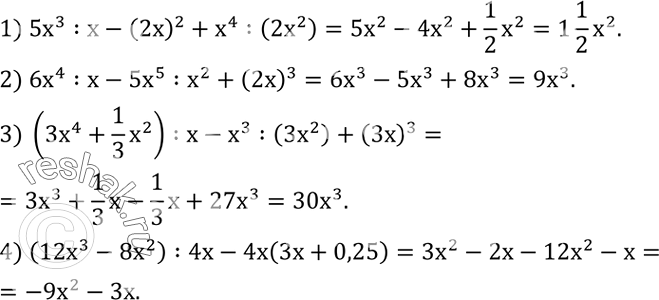
Упростить выражение:
1) 5x^3 :x-(2x)^2+x^4 :(2x^2 );
2) 6x^4 :x-5x^5 :x^2+(2x)^3;
3) (3x^4+1/3 x^2 ) :x-x^3 :(3x^2 )+(3x)^3;
4) (12x^3-8x^2 ) :4x-4x(3x+0,25).
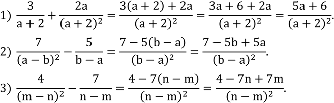
Выполнить действия:
1) 3/(a+2)+2a/(a+2)^2 ;
2) 7/(a-b)^2 -5/(b-a);
3) 4/(m-n)^2 -7/(n-m).
