Упражнение 470 ГДЗ Колягин Ткачёва 7 класс (Алгебра)
Выполнить умножение многочленов: 1) (5c-4y)(-8c-2x+6y); 2) (4b-c)(-5b+3c-4y); 3) (4x-3y+2z)(3x-3y); 4) (3a-3b+4c)(3a-5b). Выполнить действия: 1) (12n-5)/(n^2-49)+6/(7-n); 2) (c^2-8)/(2c+3)-(16c-2c^3)/(9-4c^2 ); 3) (21y^2+1)/(1-9y^2 )-y/(3y-1).


Ниже вариант решения задания из учебника Колягин, Ткачёва, Фёдорова 7 класс, Просвещение:
Выполнить умножение многочленов:
1) (5c-4y)(-8c-2x+6y);
2) (4b-c)(-5b+3c-4y);
3) (4x-3y+2z)(3x-3y);
4) (3a-3b+4c)(3a-5b).
Выполнить действия:
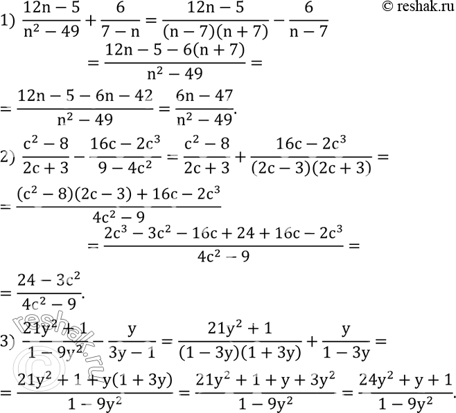
1) (12n-5)/(n^2-49)+6/(7-n);
2) (c^2-8)/(2c+3)-(16c-2c^3)/(9-4c^2 );
3) (21y^2+1)/(1-9y^2 )-y/(3y-1).
