Упражнение 529 ГДЗ Колягин Ткачёва 7 класс (Алгебра)
Разложить на множители: 1) (a-b)^2-(a-c)^2; 2) (a+b)^2-(b+c)^2; 3) (2a+b)^2-(2b+a)^2; 4) (a+3b)^2-(3a+b)^2. Построить прямоугольник по координатам его вершин: A (-2;0); B (-2;3);


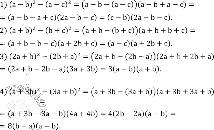
Ниже вариант решения задания из учебника Колягин, Ткачёва, Фёдорова 7 класс, Просвещение:
Разложить на множители:
1) (a-b)^2-(a-c)^2;
2) (a+b)^2-(b+c)^2;
3) (2a+b)^2-(2b+a)^2;
4) (a+3b)^2-(3a+b)^2.
Построить прямоугольник по координатам его вершин:
A (-2;0); B (-2;3); C (0;3); O (0;0).
