Упражнение 525 ГДЗ Колягин Ткачёва 7 класс (Алгебра)
Выполнить умножение: 1) (3a^2+4b^3 )(3a^2-4b^3 ); 2) (2m^4-5n^2 )(5n^2+2m^4 ); 3) (0,2t^3+0,5p^4 )(0,5p^4-0,2t^3 ); 4) (1,2a^2-0,3b^2 )(1,2a^2+0,3b^2 ). По рисунку 19, в найти координаты точек A, B, C, D, E, F.


Ниже вариант решения задания из учебника Колягин, Ткачёва, Фёдорова 7 класс, Просвещение:
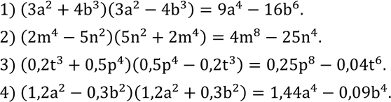
Выполнить умножение:
1) (3a^2+4b^3 )(3a^2-4b^3 );
2) (2m^4-5n^2 )(5n^2+2m^4 );
3) (0,2t^3+0,5p^4 )(0,5p^4-0,2t^3 );
4) (1,2a^2-0,3b^2 )(1,2a^2+0,3b^2 ).
По рисунку 19, в найти координаты точек A, B, C, D, E, F.
