Упражнение 530 ГДЗ Колягин Ткачёва 7 класс (Алгебра)
Вычислить: 1) ?47?^2-?37?^2; 2) ?54?^2-?44?^2; 3) ?50,7?^2-?50,6?^2; 4) ?29,4?^2-?29,3?^2; 5) (6 2/3)^2-(5 1/3)^2; 6) (7 5/9)^2-(4 4/9)^2. Даны три вершины A (1;2);


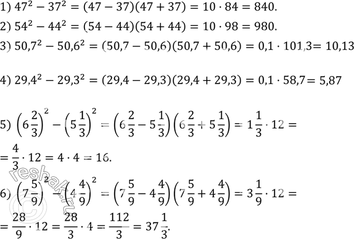
Ниже вариант решения задания из учебника Колягин, Ткачёва, Фёдорова 7 класс, Просвещение:
Вычислить:
1) ?47?^2-?37?^2;
2) ?54?^2-?44?^2;
3) ?50,7?^2-?50,6?^2;
4) ?29,4?^2-?29,3?^2;
5) (6 2/3)^2-(5 1/3)^2;
6) (7 5/9)^2-(4 4/9)^2.
Даны три вершины A (1;2); B (4;2); C (4;5) квадрата ABCD. Найти координаты точки D и построить квадрат.
