Упражнение 528 ГДЗ Колягин Ткачёва 7 класс (Алгебра)
Разложить на множители: 1) (a+b)^2-c^2; 2) (m-n)^2-k^2; 3) (a+2b)^2-9a^2; 4) (3x-y)^2-4y^2. Построить треугольник по координатам его вершин: 1) K (-2;2); M (3;2);


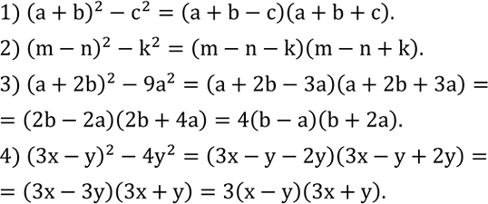
Ниже вариант решения задания из учебника Колягин, Ткачёва, Фёдорова 7 класс, Просвещение:
Разложить на множители:
1) (a+b)^2-c^2;
2) (m-n)^2-k^2;
3) (a+2b)^2-9a^2;
4) (3x-y)^2-4y^2.
Построить треугольник по координатам его вершин:
1) K (-2;2); M (3;2); N (-1;0);
2) A (0; -1); B (0;5); C (4;0).
